Telefon
0853-6513-9291
Email
pskmsentajo@gmail.com
Tanya Puskesmas
Toggle navigation
Beranda
Tentang Kami
Profil Puskesmas Sentajo
Visi dan Misi
Maklumat Pelayanan
Struktur Organisasi
SDM
Tugas Pokok dan Fungsi
Tujuan, Strategi dan Kebijakan
Tentang Puskesmas
Pelayanan
Pendaftaran dan Rekam Medik
Pemeriksaan Umum
Kesehatan Gigi dan Mulut
Ibu dan KB
Kesehatan Anak dan Imunisasi
Pelayanan UGD 24 Jam
Laboratorium
Persalinan
Klinik Sanitasi
Gizi
Farmasi
Konseling TB
Pelayanan Promkes
Administrasi
Informasi
Berita
Standar Pelayanan
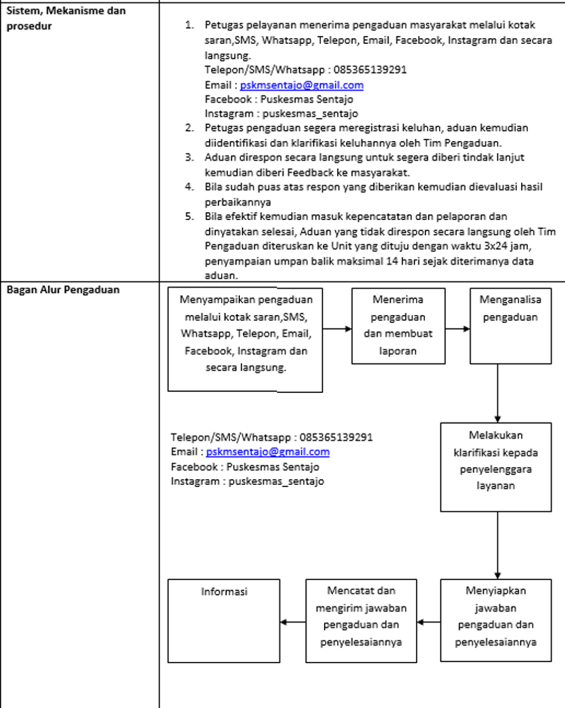
Mekanisme Pengaduan
Layanan Pengaduan
https://pkm-sentajo.kuansing.go.id/id/contact.html
Foto Kegiatan
Video Kegiatan
Indeks Kepuasan Masyarakat
Dokumen
Regulasi
Halaman
Beranda
Mekanisme Pengaduan | Puskesmas Sentajo
Mekanisme Pengaduan
Topik
Berita
Video Kegiatan
Foto Kegiatan
Berita Terbaru
Kegiatan Senam bersama Puskesmas Sentajo
29 Jul 2023
Indeks Kepuasan Masyarakat
01 Agu 2023
HUT RI KE 78
17 Agu 2023
Pelatihan Penganggulangan Kebakaran
24 Jul 2023
Kegiatan Penyuluhan, Pembagian TTD & Pemeriksaan HB pada remaja putri di SLTP 04 Sentajo Raya
30 Mar 2023